|
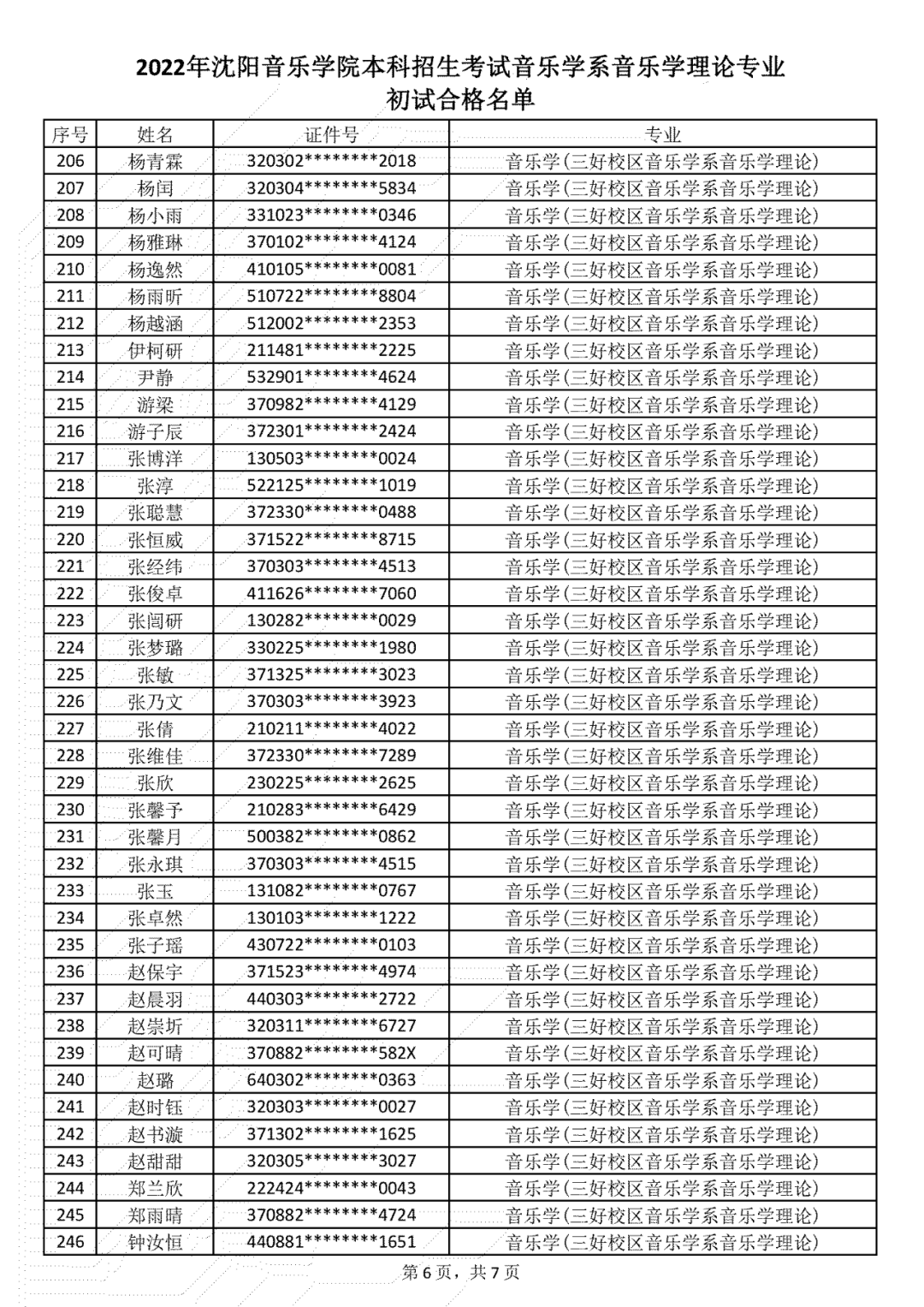
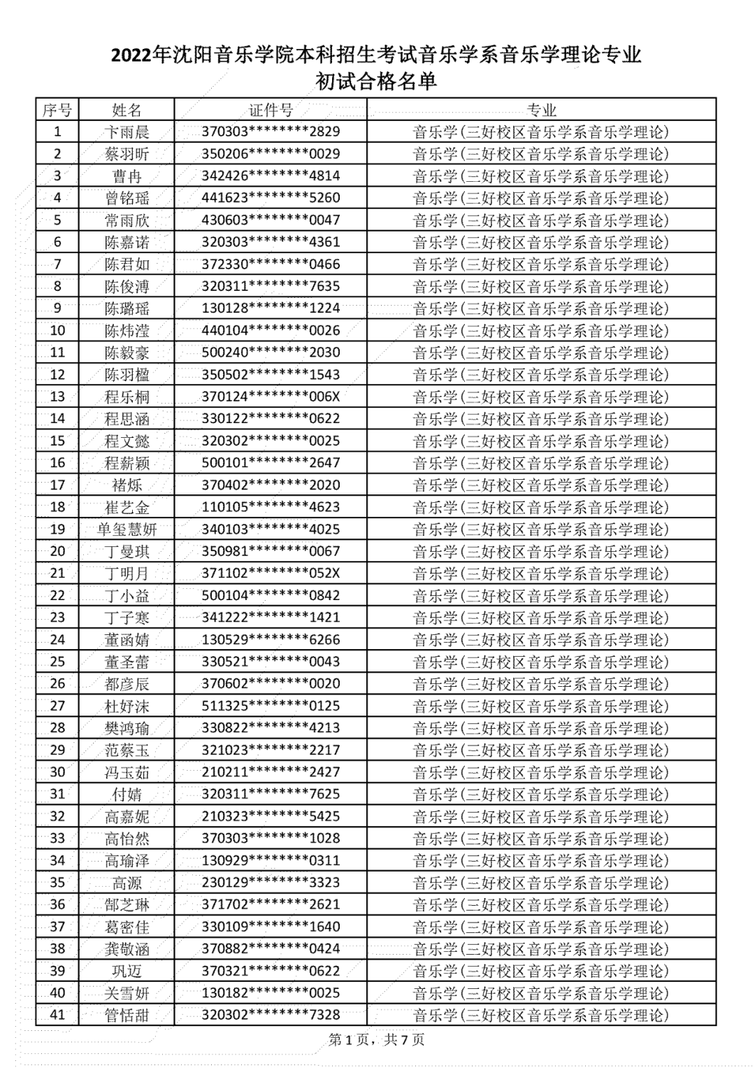
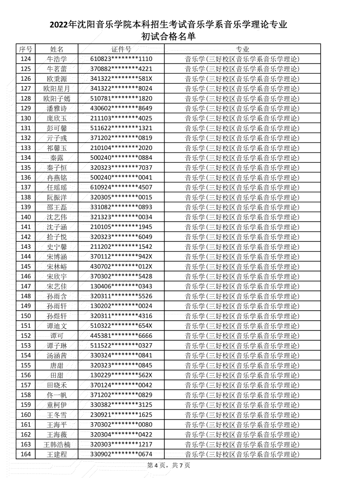
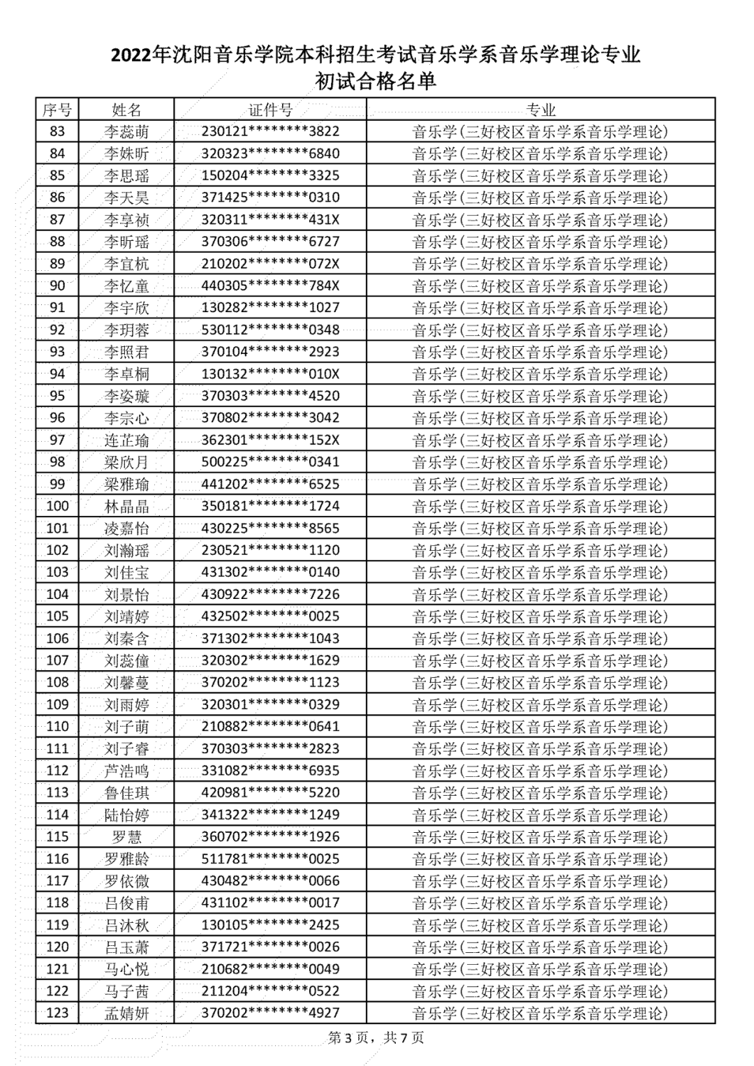
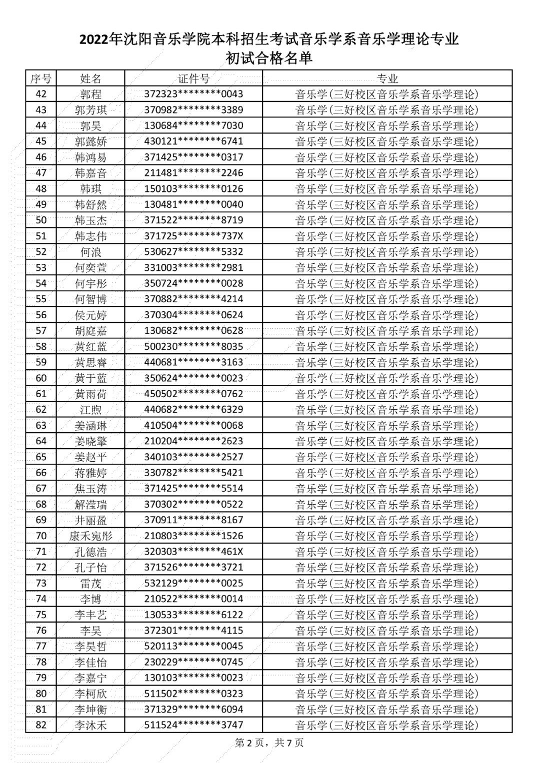
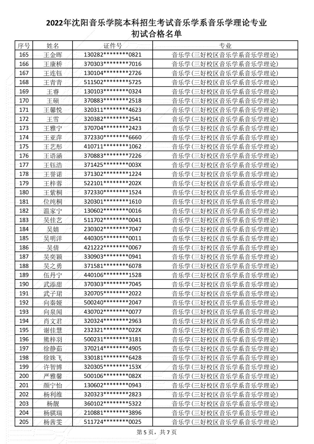
沈阳音乐学院关于公布2022年音乐学理论、艺术与科技、影视摄影与制作专业(招考方向)本科招生考试复试名单及复试报名的通知各位考生: 按照教育部和辽宁省教育厅关于艺术类专业招生考试工作的相关要求,依据《2022年沈阳音乐学院本科招生简章》和《沈阳音乐学院2022年本科招生考试工作方案》的要求,现将音乐学理论、艺术与科技、影视摄影与制作专业(招考方向)复试相关工作通知如下: 一、复试名单 我院2022年音乐学理论、艺术与科技、影视摄影与制作专业(招考方向)本科招生考试复试名单见附件。 二、复试报名 1. 艺术与科技专业管乐器维修、弦乐器制作招考方向考生复试报名时间为3月8日(周二)22:00至3月10日(周四)10:00; 2. 艺术与科技专业键盘乐器修造、乐音与健康招考方向、影视摄影与制作专业、音乐学理论招考方向考生复试报名时间为3月8日(周二)22:00至3月13日(周日)10:00; 3.考生须用手机终端下载“小艺帮”APP,小艺帮APP的“报考”页面会出现考生有待确认的报名,请点击进去确认报名并缴费(100元/人)。 4.在规定时间内未缴费的考生,视为自动放弃参加复试。 三、复试相关要求 学院2022年本科招生考试复试内容详见《2022年沈阳音乐学院本科招生专业考试要求》。根据当前疫情防控要求,复试采用实时在线的考试方式,具体时间及考试安排请各位考生及时关注我院本科招生网了解相关信息。 四、联系方式 1.复试报名成功后的艺术与科技专业管乐器维修、弦乐器制作招考方向考生须在2022年3月10日(周四)12:00前加入相关专业复试通知QQ群345802762;键盘乐器修造招考方向的考生,须在2022年3月13日(周日)12:00前加入相关专业复试通知QQ群652606266。申请验证消息输入“姓名+身份证号”,逾期视为自动放弃复试资格。 2. 艺术与科技专业乐音与健康招考方向、影视摄影与制作专业、音乐学理论招考方向考生无需加入QQ群,请及时关注我院本科招生网发布的消息。 本科招生网网址:http://www.sycm.edu.cn/info.aspx?DWid=66 沈阳音乐学院招生办公室 2022年3月8日 附件
|


